Difference between revisions of "Geopsy: H/V and Spectrum Results"

From GeopsyWiki
Jump to navigation Jump to search
Line 129: Line 129:
 
[[Image:HV_RESULTS_HV_summary.png|thumb|right|300px|H/V summary]]
 
[[Image:HV_RESULTS_HV_summary.png|thumb|right|300px|H/V summary]]
 
<br style="clear: both"/>
 
<br style="clear: both"/>
 +
 +
 +
 +
 +
= H/V graph tools when processing several receivers =

Revision as of 16:27, 15 January 2013


Windowing and processing have been performed after adjusting parameters in the H/V Toolbox.


Signal and selected windows

Signal and selected windows before processing

After applying the windowing selection criteria, the selected windows appear in green on the signal sheet.

Signal and selected windows before processing

After processing, each selected windows appear with its own color on the signal sheet.


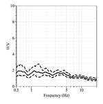
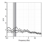
H/V graph

H/V curve

The H/V graph shows:

  • individual H/V curves from the selected windows, with the color of the corresponding window in the signal sheet (provided All window of the H/V options in preferences has been selected
  • the average H/V curve (black line)
  • the amplitude standard deviation curves (dashed lines)
  • the H/V peak frequency standard deviation domains (the two vertical gray areas)

The frequency of the H/V peak is at the limit between the two gray areas.

The name of the receiver appear above the top right corner of the H/V graph.


Average H/V curve

If All window of the H/V options in preferences has not been selected the color curves do not appear


H/V graph tools

H/V graph tools

With a right-click outside the H/V graph a pop-up menu appears (this menu is also present at the top of the window when running geopsy under Windows or Linux).


The menu items are described in the figue reference manual, except Tools, a geopsy specific feature described here below.



The Item Tools includes six sub-items:

Load results

Load a H/V curve which results are stored in a .hv file (Example)

Save results

Save the H/V curve in a .hv file (Example)

Edit peaks

The following window pops up

Peak editor window



Select the peak (and station) to edit

Peak editor with station and selected peak to edit


Press one of the push buttons


  • HV Add Button.png


Enter the frequency range in which to search the added peak

Frequency range for added peak


H/V curves before and after peak editing

H/V curve with automatic geopsy peak selection
H/V flat curve with a second peak added


If the search frequency range is wrong and produce a peak at a wrong place, simply remove this peak with the remove option (see below) and enter a new search frequency range or use the adjust option (see below).


  • HV Adjust Button.png


Enter the frequency range in which to search the added peak

Frequency range for adjusting the peak


H/V curves before and after peak editing

H/V curve with automatic geopsy peak selection
H/V curve with adjusted peak


If the search frequency range is wrong and produce a peak at a wrong place, simply remove this peak with the remove option (see below) and enter a new search frequency range or re-use the adjust option.


  • HV Remove Button.png


H/V curves before and after peak editing

H/V flat curve with automatic geopsy peak selection
H/V flat curve with peak removed


The following sub-items make more sense to be used when computing several H/V curves (see next section)

Statistical comparison

Set categories

Categories to group


Processing several receivers

Individual H/V curves

Individual H/V curves



H/V summary

H/V summary




H/V graph tools when processing several receivers